| Рубрикатор | ![]() |
![]() |
| Статьи | ![]() |
ИКС № 7 2006 | ![]() |
![]() |
| В.Ф. ПОЛЕЩУК  | 01 июля 2006 |
Аутстафинг – инструмент повышения производительности труда
Что такое аутстафинг? Аутстафинг (outstaffing – дословно «вне штата») – предоставление кадровым агентством в распоряжение предприятия персонала для выполнения определенной работы. При этом кадровое агентство, предоставляющее услуги аутстафинга, является фактическим работодателем для временно привлекаемых сотрудников: оформляет трудовые книжки, оплачивает выполненную работу, отпуска, больничные листы, выдает работникам необходимые справки и т.п. Предприятие же отвечает за организацию производственного процесса, ведет учет рабочего времени, количества и качества выполненных работ, готовит первичные документы по расчету заработной платы, непосредственно руководит деятельностью поступивших в его распоряжение сотрудников, труд которых практически ничем не отличается от работы штатного персонала.
Аутстафинг помогает предприятиям решать следующие задачи:
регулировать численность работников, не выходя за рамки официального штатного расписания;
снизить затраты на работу с персоналом при создании филиальной сети или представительств, специфика деятельности которых (например, неполная загрузка сотрудников) зачастую не позволяет эффективно использовать труд квалифицированных специалистов;
реализовать временную потребность компании в высококвалифицированных специалистах или в работниках с редкой специальностью при выполнении краткосрочных и среднесрочных проектов для внешнего заказчика;
найти замену работникам предприятия, например, на период отпусков или праздников;
удовлетворить потребность предприятия в большом количестве низкоквалифицированных работников на
непродолжительное время, например
для проведения рекламных и маркетинговых кампаний;
оформить в штат кадрового агентства сотрудника, с которым у предприятия заключены только гражданско-правовые отношения (договор подряд, контракт на определенный вид работ), для обеспечения ему социальных гарантий;
оформить в штат кадрового агентства сотрудника на испытательный срок с перспективой последующего его перевода в штат предприятия.
Аутстафинг в мире и в России
Принято считать, что аутстафинг «изобрели» японские менеджеры. В Японии в штате компании состоит не более трети всех работающих на нее людей. Штатные сотрудники определяют лицо фирмы, формируют корпоративную культуру, отвечают за развитие и нормальное функционирование предприятия. Остальные работники не входят в штат компании, но при этом получают достойную зарплату, имеют социальный пакет, у них идет трудовой стаж. На Западе тоже очень многие компании отдают предпочтение этой форме отношений с персоналом.
На российском рынке аутстафинг приживается с трудом. В нашей стране около 40% организаций используют труд временных работников, и аутстафинг мог бы значительно повысить эффективность их деятельности. Но в России сегодня не так много компаний, предоставляющих своим клиентам услуги аутстафинга. Можно назвать 4–5 агентств, уверенно работающих в этом направлении. Среди них «АНКОР», Kelly Services, Men Powers.
На неразвитость аутстафинга в России влияют и его отрицательные стороны. Основные из них – дополнительные затраты компаний на оплату услуг кадрового агентства и возможность снижения лояльности сотрудников по отношению к компании. Для многих людей психологически тяжело работать в одной фирме, а числиться в другой. К тому же нельзя сбрасывать со счетов различия в социальной поддержке штатных сотрудников и «внештатников», в возможностях их участия в культурно-массовых мероприятиях и др.
Сегодня в России более 90% привлекаемых сотрудников – это административный и обслуживающий персонал: секретари, переводчики, ИТ-специалисты, бухгалтеры, маркетологи, водители, горничные, уборщики, в то время как на Западе передача в штаты кадровых агентств менеджеров среднего звена и даже топменеджеров – обычная практика.
В Иркутском филиале ОАО «Сибирьтелеком» на принципах аутстафинга работают около 350 человек, или 7% от общей численности (табл. 1).
Альтернативным вариантом аутстафинга является аутсорсинг. В Иркутском филиале ОАО «Сибирьтелеком» за счет передачи функций сторонним организациям только в 2005 г. удалось высвободить 275 человек. И хотя аутсорсинг по сравнению с аутстафингом менее затратный и менее хлопотный вариант сокращения численности персонала, он не везде и не всегда применим: например, там, где нет предприятий, готовых выполнять эти функции, или слишком мал объем передаваемых работ.
Договор аутстафинга

Эффективность аутстафинга на предприятии во многом зависит от условий договора с кадровым агентством. При заключении договора заказчик может воспользоваться такими преимуществами аутстафинга, как:
получение квалифицированного персонала в нужном количестве и в короткий срок;
снижение объемов кадрового делопроизводства, отсутствие бухгалтерского и налогового учета по заработной плате привлеченным сотрудникам;
снижение затрат на компенсационные пакеты (для временных сотрудников они либо не предусмотрены, либо минимальны);
отсутствие простоев: если временный работник заболел или ушел в отпуск, кадровое агентство обязано предоставить ему замену;
возможность приема сотрудника на любой срок и неоднократной его замены, если он не подходит по тем или иным причинам;
возможность пригласить понравившегося сотрудника к себе в штат, а значит, избежать затрат на поиск и подбор персонала;
Кроме того, расторжение договора аутстафинга – менее затратная и менее продолжительная процедура, чем процесс сокращения штатов. При этом никаких выплат работникам не производится. Предмет договора аутстафинга – предоставление исполнителем (кадровым агентством) персонала, отвечающего требованиям заказчика (предприятия), для выполнения определенной работы, причем исполнитель не несет ответственности, если работник по тем или иным причинам не подошел заказчику.
В договоре должны быть определены основные права и обязанности исполнителя и заказчика. Исполнитель среди прочего несет обязанности работодателя по отношению к направляемому к заказчику персоналу, обеспечивает взимание налога на доходы физических лиц, производит отчисления в установленные законодательством фонды и др.
Заказчик осуществляет оперативное руководство персоналом, направленным по договору, предоставляет оборудованное рабочее место, инструмент для выполнения работ, обеспечивает организацию и охрану труда, оплачивает командировочные расходы персонала и др.
Вознаграждение исполнителя определяется в процентном отношении от общей суммы выплат персоналу в качестве заработной платы, гарантий, компенсаций, законодательно установленных отчислений. Процент выплат может зависеть от числа временно привлекаемых сотрудников. Например, при численности персонала до 100 человек он может составлять 10%, до 300 – 9%, более 300 – 8%.
Заработная плата персонала начисляется исполнителем исходя из согласованных обеими сторонами часовых тарифных ставок и окладов. Премирование производится на условиях, определенных согласованным сторонами положением о премировании. Размер гарантий и компенсаций определяется действующим на момент их предоставления законодательством. Заказчик возмещает исполнителю расходы по предоставлению персоналу установленных законодательством гарантий и компенсаций и необходимых для выполнения трудовых функций затрат.
Аутстафинг и производительность труда
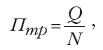
Как известно, производительность труда (Пmр) определяется объемом продукции, производимой одним работником за единицу времени:

где Q – объем продукции в стоимостном или в натуральном выражении; N – число работников.
Повышение производительности труда при аутстафинге на предприятиях связи определяется тремя факторами.
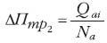
- . Сокращение численности сотрудников, функции которых выполняет персонал, переданный по аутстафингу, при неизменном объеме производства. Увеличение производительности труда в этом случае определяется по формуле

где Q i – объем услуг в стоимостном или в натуральном выражении; N i – численность работников предприятия; Na – численность работников, переданных в аутстафинг. - Появление новой продукции у предприятий, осуществляющих аутстафинг. В экономической теории продукцией называется совокупность благ, создаваемых процессом материального производства для удовлетворения материальных и культурных потребностей общества. Исходя из этого, предоставление персонала по аутстафингу является услугой, предоставляемой кадровым агентством другим предприятиям, и учитывается как продукция:

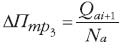
где Qa i – объем услуг, переданных в аутстафинг. - Повышение производительности труда предприятий, осуществляющих аутстафинг, за счет специализации выполняемых работ:

где Qa i +1 – объем услуг, выполненных дополнительно за счет специализации.
В мировой экономике наблюдается постоянное сокращение численности трудящегося населения, занятого в промышленном секторе, и увеличение числа работающих в сфере услуг (табл. 3). Причины – повышение производительности труда в промышленности и широкое применение аутстафинга и аутсорсинга.
Таким образом, аутстафинг при его очевидных преимуществах и с учетом мировых тенденций может стать эффективным способом повышения производительности труда на предприятиях связи.
Документы, используемые при заключении договора
- Трудовой кодекс РФ
- Правила внутреннего трудового распорядка заказчика
- Положение об организации работы по охране труда в отрасли связи (Приказ Минсвязи РФ от 26 октября 2000 г. № 187)
- Порядок обучения по охране труда и проверки знаний требований охраны труда для руководителей и других должностных лиц, ответственных за охрану труда на предприятиях и организациях отрасли связи (Приказ Минсвязи РФ от 23 июля 2002 г. № 86)
- Межотраслевые и отраслевые правила по охране труда
- Правила обеспечения работников специальной одеждой, специальной обувью и другими средствами индивидуальной защиты (Постановление Минтруда РФ от 18.12.1998 № 51) и Сборник норм бесплатной выдачи специальной одежды, специальной обуви и других средств индивидуальной защиты, действующих в организациях связи (М., Госкомсвязи, 1999)
- Инструкции по охране труда, действующие в структурных подразделениях заказчика
- Приказы и распоряжения руководства заказчика по организации работы по охране труда
Заметили неточность или опечатку в тексте? Выделите её мышкой и нажмите: Ctrl + Enter. Спасибо!















